嘔吐毒素又稱脫氧雪腐鐮刀菌烯醇(deoxynivalenol, DON) 是谷物中最為常見的一種真菌毒素, 其降低畜禽的生產性能, 并且對動物免疫系統、細胞信號傳導和基因的表達均有不同程度的影響。隨著我國災害氣候的頻頻發生, 嘔吐毒素的污染程度呈現加劇趨勢, 因此嘔吐毒素污染的控制迫在眉睫。傳統控制脫氧雪腐鐮刀菌烯醇的方法主要有物理法和化學法, 但上述兩種方法都具有局限性。本文闡述了脫氧雪腐鐮刀菌烯醇的化學性質、毒性作用以及生物脫毒方面的研究進展,為研究生物學方法控制糧食與飼料中嘔吐毒素含量提供參考。
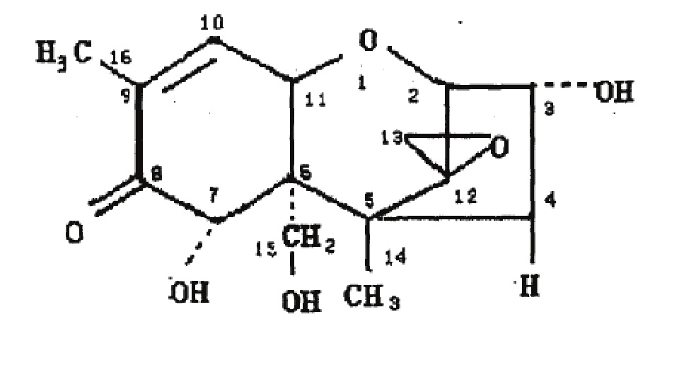
嘔吐毒素是一種單端孢霉烯族毒素,主要由粉紅鐮刀菌和禾谷鐮刀菌產生。其化學名為3α,7α,15-三羥基-12,13-環氧單端孢霉-9-烯-8-酮,化學式為C15H20O6,純品是一種無色針狀結晶,可在乙酸乙酯和甲醇中長期保存。低劑量的嘔吐毒素,主要引起動物食欲下降、體重減輕、代謝紊亂等癥狀,大劑量可導致動物嘔吐。嘔吐毒素對消化系統、血液系統、中樞系統以及鈣磷代謝均產生影響,嘔吐毒素具有慢性和亞慢性毒性、急性毒性、免疫毒性等多種毒性作用。
1、嘔吐毒素的毒性及對動物的危害
動物對嘔吐毒素的反應有種屬和性別差異,雄性動物對毒素比較敏感,豬比小鼠、家禽和反芻動物更敏感。單端孢霉烯族毒素會引起大部分畜禽嘔吐,其中豬最為敏感,是其他動物的100~200 倍。有研究表明,嘔吐毒素能夠引起豬嘔吐的最小口服劑量為0.1~0.2mg/kg,當攝入0.5mg/kg的嘔吐毒素后,5~7min 就會引起嘔吐。嘔吐毒素對機體免疫系統的侵害主要包括對免疫細胞的增殖與凋亡的影響以及對免疫細胞因子的釋放這兩個方面。嘔吐毒素能夠誘導機體內免疫球蛋白分泌紊亂,免疫球蛋白是免疫病理結果的一種特征指標,它為嘔吐毒素對動物免疫系統的影響提供了一種新的路徑,還能夠影響機體內腫瘤壞死因子、白細胞介素等的水平。也有研究報道指出,嘔吐毒素使小鼠IgA水平顯著提高,人類腎小球腎炎、IgA 腎病也出現相似的情況。其作用機理是嘔吐毒素能夠增加IgA 分泌細胞的數量,這是由于巨噬細胞和T淋巴細胞產生的細胞因子介導的結果。同時有報道指出,如果對小鼠體外培養和小鼠體內白細胞介素-6(IL-6) 缺陷,均可以證明嘔吐毒素對IL-6 有著十分重要的誘導作用。Moon 等也證明了體內環氧合酶-2(COX-2)基因的上調是由嘔吐毒素誘導的結果,之后產生的前列腺素的一些代謝物對IL-6 的分泌有明顯的效果。
2、嘔吐毒素污染概況
據統計,每年全球有至少25%的飼料原料被霉菌毒素污染。我國主要霉菌毒素污染是黃曲霉毒素、玉米赤霉烯酮、煙曲霉毒素以及嘔吐毒素,90%以上的原料顯示陽性。國內飼料原料霉菌毒素污染超標率高達60%~70%。嘔吐毒素和污染分布也顯示了一些關鍵特征:霉菌污染嚴重的主要是水稻糧食作物,尤其在谷物豐收后污染最為嚴重。嘔吐毒素對許多作物均可造成污染,其中最為普遍的是谷物類原料,其次是油籽類原料。由于溫度、濕度等差異,即使在同一季節,不同地區收獲的玉米所帶菌屬也有較大差異,相比東北地區的嘔吐毒素污染,華北地區的部分玉米嘔吐毒素的污染較重。
3、飼料中嘔吐毒素的脫毒技術
對谷物和飼料進行適當的脫毒處理是控制和減輕霉菌毒素危害的重要方法,研究者們已做了很多關于嘔吐毒素脫毒的研究,基本上分為物理、化學和生物脫毒3類。
3.1 物理脫毒法
密度篩選,研磨,使用紫外光、γ- 射線照射以及添加霉菌毒素吸附劑等是常見的物理脫毒方法。嘔吐毒素可以溶于水,濕磨碎后污染的谷物中的嘔吐毒素會在水中富集,只有少量毒素在淀粉中。油料籽實和谷物的密度篩選方法是基于污染和未污染谷物種子之間的密度差異,應用浮選法將二者重新分流,進而將二者區分開來的方法,從而能夠很大程度上降低嘔吐毒素的濃度。這種方法很適用于易感染嘔吐毒素的玉米和小麥。霉菌毒素吸附劑法是目前應用較廣的物理去毒方法,包括黏土、硅藻土、酵母細胞壁提取物、硅鋁酸鹽、葡甘露聚糖、酯化甘露聚糖等。但大量試驗證實霉菌毒素吸附劑只對飼料中的黃曲霉毒素有較好的吸附效果,而對嘔吐毒素的吸附率不足5%。
3.2 化學脫毒法
因為毒素在強酸、強堿或強氧化劑的作用下轉化為無毒物質的原理,所以化學脫毒法根據化學試劑的不同而方法較多。酸處理法、堿處理法、氨處理法及有機溶劑處理法是常見的化學脫毒法。向受到嘔吐毒素污染的糧食或飼料中通入液氨,在室溫或加熱條件下密封儲存,在氨的作用下嘔吐毒素化學結構發生變化,轉化為沒有毒性的物質,因而解毒。近年來,有機溶劑萃取法解毒成為研究熱點。常用的有機溶劑有95%的乙醇、異丙酮、丙酮、正己烷-甲醇、80%異丙酮、乙腈、甲醇、丙酮-正己烷-水、正己烷-乙醇-水等,利用這些溶劑,幾乎可將飼料中所有的嘔吐毒素去除。
3.3 生物脫毒法
目前,有關嘔吐毒素生物降解的研究在國內外正成為熱點。使用特定的微生物或其產生的酶來降解發霉飼料中的霉菌毒素,將這些微生物加入飼料中,實現霉菌毒素的溫和降解,避免強酸、強堿、高溫對飼料的營養物質造成破壞,達到去除霉菌毒素的目的。該過程不需要引入有毒和有害化學物質,而且還可以減少飼料中的營養物質的損失。生物脫毒法根據其物質和作用機制的不同可分為生物降解法、生物吸附法、轉基因技術消除法及其他的一些生物處理方法,許多微生物如酵母菌、細菌、真菌等可以去除或減少食品和飼料中的霉菌毒素。
3.3.1 生物吸附法
目前畜禽生產中應用最為廣泛的毒素脫毒方法是在飼料中添加毒素吸附劑。在動物體內吸附劑與毒素結合形成復合體,在毒素經過消化道時不被動物體吸收并隨吸附劑排出體外,從而降低毒素的生物學效應,減少血液中毒素濃度和腸道對毒素的吸收,并且減少靶器官中毒素含量。相比傳統的物理吸附方法,微生物菌體吸附法具有反應條件溫和、吸附過程不會造成飼料中營養物質流失等優點。目前,研究發現,真菌類和乳酸菌類是主要的對嘔吐毒素具有吸附作用的菌株。同時研究發現美極梅奇酵母、釀酒酵母、馬克思克魯維酵母、發酵地霉酵母4種酵母對嘔吐毒素也具有良好的吸附效果。而DON可被絲狀真菌米曲霉和米根霉吸收到菌絲體上,通過深層發酵降解嘔吐毒素,在48 h 后降解速率達到最大。Oliveira 等培養的羅伊乳酸菌R29 的發酵液可以抑制鐮刀菌孢子萌發,進而減少嘔吐毒素的積累。El-Nezami 等研究發現,20 μg/mL 的嘔吐毒素與鼠李屬乳酸菌株LGG、LC-705 及費氏丙酸桿菌3株菌株共同培養1h 后,上清液中64%~93%的嘔吐毒素被吸附,且滅活細胞與活細胞對嘔吐毒素的吸附能力沒有差異(P>0.05)。
微生物吸收嘔吐毒素的原理主要與葡甘露聚糖在細胞壁上的吸附有關。目前,從真菌細胞壁提取的葡甘露聚糖的解毒劑已廣泛應用于飼料行業。發現作為霉菌毒素吸附劑,高分子量葡甘露聚糖不僅可吸附嘔吐毒素,而且可以調節肉仔雞的免疫功能。微生物菌體細胞壁對嘔吐毒素吸附是可逆性的,嘔吐毒素的吸附作用與細菌的種類及濃度有關,因此需要進一步改善吸附劑的質量和穩定性。
3.3.2 生物降解法
生物降解由于其有效性、環保性和針對性,將成為未來霉菌毒素解毒的一種趨勢。酶解脫毒是通過使用酶或活細菌(產脫毒酶) 將毒素轉化為無毒物質來改變毒素結構以控制飼料中霉菌毒素風險的有效途徑。
嘔吐毒素的主要毒性基團是C-12,13 環氧環和C3-OH 基團,可引起毒性與核糖體結合,造成核糖體毒性壓力效應,許多調節基因表達的蛋白激酶被活化,抑制蛋白合成并產生細胞毒性,這3 個基團是嘔吐毒素生物降解研究的主要位點。嘔吐毒素的生物降解包括毒素分子的羥化、水解、去環氧化、脫乙酰和糖苷化,微生物通過在DON 中釋放胞外酶,并作用于DON 將其轉化為低毒的化合物。
⑴C3- OH 氧化和差向異構化
微生物可以將嘔吐毒素結構中的3- OH 基團氧化成3- 酮基,產生3- 酮基- DON,或形成可以解毒的同分異構體3- epi- DON。沃斯特氏菌屬和諾卡氏菌屬和其他好氧性細菌可以達到該條降解途徑。Volkl 等推測乙醇脫氫酶可以輔助輔酶NADH 或NADPH 將DON 分子的C3- OH 基團氧化成3- 酮基。Shima 等從土壤中篩選出一種土壤桿菌屬根瘤菌E3- 39,胞外提取液24 h可將培養基中200 μg/mL 的DON 代謝為3- keto-DON。后續研究推測E3- 39 菌分泌的胞外酶可完成這種轉化。計成等篩選的德沃斯氏菌屬ANSB714 發酵液(活菌數4.5×109CFU/mL) 與100 mg/mL 的DON 共同培養24 h 后,DON 降解率高達97.34%。在模擬腸道條件下,ANSB714 菌株對霉變小麥和DDGS飼料中DON 降解率分別為86.19%和84.34%。Sato等采用高效液相色譜法詳細比較了德沃斯氏菌屬及諾卡氏菌屬對DON 降解途徑的不同,為探究DON 降解機制提供了理論基礎。
⑵C12/C13 開環氧化作用
微生物可將嘔吐毒素結構中的C12/C13 環氧基團水解成兩個相鄰的羥基,生成轉化產物DOM- 1,達到解毒作用。這些微生物主要由瘤胃、腸道厭氧菌群及芽胞桿菌組成。Fuchs 等從牛瘤胃中分離到一株厭氧優桿菌屬細菌BBSH797,該菌可將嘔吐毒素代謝成單一產物DOM- 1。近年來,研究人員陸續篩選出多種具有將嘔吐毒素降解為DOM- 1 的菌株。Li 等研究表明芽孢桿菌LS100 可將嘔吐毒素轉化成DOM- 1,并通過仔豬飼喂實驗發現降解產物DOM- 1 不會對豬產生負面影響。Guan 等從褐色大頭鯰(Ameiurus nebulosus) 腸道中分離到微生物混合物C133,該混合物只有在完全培養基中才具有將嘔吐毒素轉變為DOM- 1 的能力。Islam 等從土壤中分離的腸桿菌菌群在有氧條件下可將嘔吐毒素深度氧化成DOM- 1,在144 h 內嘔吐毒素降解率高達99%。Yu 等采用變性梯度凝膠電泳方法從雞腸道中分離出10 株可將嘔吐毒素轉化為DOM- 1 的菌株,為篩選具有該條生物轉化途徑的菌株提供了有效方法。馮培生等研究發現大鼠腸道微生物可將嘔吐毒素代謝生成DOM- 1,隨后運用超高效液相色譜串聯四極桿- 飛行時間質譜技術分析嘔吐毒素代謝產物的碎片離子質荷比變化,據此推測嘔吐毒素的降解途徑。
⑶其他降解途徑
除了上述主要的降解途徑外,推測嘔吐毒素還存在其他可能的降解途徑。研究表明,嘔吐毒素中C15 去掉—CH2O,形成分子質量為265 的中間產物,在此基礎上,C5 和C6 同時去掉一個CH2O 和一個H2O,形成產物分子質量為247,C6 和C7 在247 的基礎上去掉一個H2O,形成分子質量為227 的終產物,產物247 降解的另一種方式為C14 去掉—CH3,C7 去掉—OH,C3 和C4 形成雙鍵的終產物217。嘔吐毒素中O1 和C11 間斷裂,通過水合作用水解后均變為- OH,研究推測分離得到的塔賓曲霉NJA-1 是通過水合作用的方式降解嘔吐毒素,嘔吐毒素中C8 位的酮基也容易受到親核基團的攻擊變為羥基,并從化學角度分析,C8 位的O 原子可能被水解,變成2 個- OH。總之,明確DON 的降解和轉化途徑,可為實際應用中嘔吐毒素的清除提供可靠的理論依據。
4展望
與物理和化學方法相比,生物處理對飼料營養成分的影響不大,但由于成本高、效果不穩定,限制了該方法的廣泛應用。研究嘔吐毒素的生物降解還有很多問題需要解決,如無法定性嘔吐毒素解毒酶的解毒效率、生物發酵法生產的解毒酶的活性不高等。目前,嘔吐毒素降解酶的研究主要集中在解毒酶的分離和純化上,以及尋找產解毒酶基因,然后將靶基因克隆到生物表達器中高效表達,將是未來一段時間內霉菌毒素生物降解的研究方向。


